
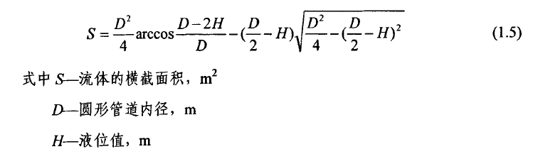
方程 (1.5) 給出了液位負荷與流體橫截面積 s 之間的關系。 一旦得到液位占空比,就可以通過式(1.5)計算流體的截面積s,就可以得到流量Q。 現有的非滿管電磁流量計也是根據速度V和液位占空比這兩個參數來計算非滿管流量的。
技承儀表(上海)有限公司是主營壓力儀表,液位儀表,流量計與流量開關等產品研發和生產的高科技儀器儀表企業。05年建廠,近10年水質分析儀表,氣象儀表,壓力傳感器,壓力變送器,液位變送器,流量計等儀表外貿貼牌生產經驗,大量進口配件現貨庫存,為廣大客戶提供優質的產品和服務。
如果您有需求,請與我們接洽,我們將請我們的技術人員幫你解決問題。